mproving American students' opportunities to learn and performance in mathematics and science has been of major concern for several decades. Despite waves of reform, student mathematical performance in the U.S. remains lackluster in international comparisons (Loveless, 2013;OECD, 2014). Common Core Mathematics Standards (CCMS), characterized by its focus, coherence, and rigor, are believed by many to have potential for improving students' mathematical learning, if well implemented (Schmidt & Houang, 2012). The success of CCMS on student learning in part depends on teachers who are capable of teaching CCMS. Consequently, there have been calls for both recruiting from those with the strongest quantitative backgrounds (e.g., STEM majors) and offering rigorous Author ? : e-mail: [email protected] mathematics training in teacher preparation (Schmidt, Houang, & Cogan, 2011).
Despite such calls, existing literature is void in two areas. First, to the best of our knowledge, there has been no empirical evidence on whether these STEM majors who arguably represent the strongest candidates for the teaching force have the depth of content understanding in order to teach mathematical topics at the rigorous level that CCMS expects. Secondly, it is not clear from the existing literature what counts as rigorous mathematics training. Should rigorous training in mathematics mean more advanced college mathematics courses (e.g., taking more upper division math courses)? Or should rigorous training mean future mathematics teachers need the opportunities to learn rigorously the K-12 mathematical topics they are expected to teach down the road?
Our paper is an attempt to address the knowledge gap in these two areas through investigating the understanding of the concept of slope among a group STEM majors who were enrolled in an undergraduate experimental teacher preparation program. Though we could have chosen any topic, slope concept provides an ideal platform for investigating the question of whether teacher candidates are adequately prepared to teach mathematics at the level of rigor that is required by CCMS for the following reasons. First, slope of a line features prominently in algebra and is a foundational concept in functions. Despite its importance, research has well documented the difficulties both students and teachers (pre-and inservice) have in terms of understanding the concept of slope (Stump, 2001a(Stump, , 2001b; Teuscher & Reys, 2010; Zaslavsky, Sela, & Leron, 2002). Secondly, this difficulty will likely increase with the adoption of Common Core Mathematics Standards (CCMS), because CCMS approaches the concept of slope in significantly different ways.
To begin with, CCMS makes the distinction between the slope of a line and the slope of two chosen points on the line. In contrast, most existing textbooks conflate the two. Furthermore, CCMS emphasizes reasoning and proof. Therefore, CCMS requires that students be able to prove that slope of a line can be defined by any two distinctive points on the line. The proof invokes the concept of similar triangles and therefore, according to CCMS, students will be exposed to the concept of similar triangles before learning the concept of slope. This also means that students are expected to have a much stronger grasp of the connection between linear equations and their graphs than expected in the past. This logical sequence of topics and the emphasis on the connection between equations and graphs are absent in the current curriculum and textbooks (Wu, 2014). Given the significant departure of CCMS from the old ways of teaching and learning of slope, the question naturally arises: How prepared are pre-service teachers in terms of their own understanding of slope according to CCMS?
We focused on STEM majors who were part of the undergraduate mathematics and science teacher preparation program at one of the research universities in the west coast of the United States. Focusing on STEM majors provides an opportunity to assess content understanding among those who arguably possess the strongest mathematical and quantitative backgrounds. There have been sustained efforts at recruiting undergraduate STEM majors into teaching through programs such as 100k10 in New York, UTeach in Texas, and UTeach replication sites across the country. The undergraduate teacher preparation program we focused on offers a unique opportunity to examine the mathematical understanding of prospective teachers, because the mathematics department offers a threecourse sequence coursework focusing on grades 6 through 12 mathematics topics for mathematics majors who intend to pursue teaching as a career. The content of these courses aligns well with the CCMS. Consequently, we ask the question: Is there any qualitative difference in the understanding of slope concept between those who took the course versus those who did not?
This paper is structured as follows. We first provide an overview of how slope is typically conceptualized in previous research, state content standards, and textbooks, highlighting the problematic aspects of how slope is typically conceptualized and contrasting this with how CCMS intends to overcome these problems. We then review the literature on characteristics of mathematical understanding as a basis on which to build a framework for examining the mathematical content understanding of slope according to the CCMS. After this, we describe various aspects of the inquiry methods. Following this, we present our findings and discuss their implications for mathematics teachers' content training in order to teach K-12 mathematics topics that meet the expectations of CCMS.
Conceptualization of Slope: Pre-Common Core Vs. State standards and textbooks (e.g., Burger et al., 2007;Collins et al., 1998;Larson et al., 2004aLarson et al., , 2004b)), on the other hand, tend to define slope in terms of the ratio, in particular, what is considered as geometric ratio in terms of "rise over run" (Stanton & Moore-Russo, 2012). This definition is problematic. To begin with, the focus on "rise over run" orient learners' attention on the algorithm for calculation instead of conceptual understanding of what slope is. Secondly, the definition conflates the slope calculated using two points on the line with the slope of the line. In other words, if we were to take two different points, how do we know the ratio will be the same? Further, are we confident that two pairs of points (i.e., four points) are enough to say that any two points will give the same ratio since there are infinite numbers of points on the line? Finally, the definition assumes teachers and students will know why the ratio (of vertical change per unit of horizontal change) is always the same without given an explanation. These problems make it difficult for the intended users (i.e., teachers and students) to make sense of what slope is. The likely consequence of over-relying on the formulaic definition of slope is that learners will know the formula without understanding what the formula means or why it works. As Walter and Gerson (2007) observed that:
"In virtually every classroom in the U.S., students are taught the phrase 'rise over run' as a mnemonic for the algorithm for calculating slope 'change in y, over the change in x,' for an arbitrary pair of points in a coordinate plane. The result of this instrumental device is an instrumental understanding (Skemp, 1976(Skemp, /[2006]]) of slope as a fraction, with the change in y as the numerator and the change in x as the denominator. Students with this understanding are calculation-based understanding to global understanding of the quotient's meaning for the way a line is positioned in the plane or to make connections with the idea of rate of change." (p. 204).
Consistent with Walter and Gerson's observations, studies have shown that students have difficulties identifying slope of a line from its graph (Postelnicu & Greens, 2012), computing slope of a line, or relating slope to the measure of steepness (Postelnicu, 2011;Postelnicu & Greens, 2012;Stump, 2001b). These difficulties point to the importance of helping students understand why taking any two points on the line will give the same answer and that how the slope being the same along the graph controls its shape. The implication is that in order to have a firm understanding of slope, one must understand explicitly the connection between linear equation and its graph. Indeed the concept of slope brings forth the need to connect the algebraic aspect of linear equation and the geometric aspect of its graph.
To remedy how slope has been treated in previous state standards and textbooks, CCMS presents a coherent learning progression on the topic. CCMS provides 8th graders with an intuitive approach to congruence and similarity by getting them comfortable with the angel-angle criterion for similar triangles. Following this, CCMS requires that 8th graders use similar triangles to explain why the slope of a nonvertical line can be calculated using any two distinctive points on the line. Teaching similarity to help students make sense of the concept of slope equips them with a powerful tool to solve all sorts of linear equation problems without having to resort to memorizing different forms of linear equations (two-point, pointslope, slope-intercept, and standard), because now students are provided with the explicit knowledge and understanding that slope can be calculated using any two points on the line that suit one's purpose (for examples, see Newton & Poon, 2015).
Furthermore, CCMS' approach to slope connects the algebra of the linear equation and the geometry of the slope. This interconnectedness helps students see how slope being the same all along the graph controls its shape (Wu, 2010b(Wu, , 2014, forthcoming), forthcoming). Finally, understanding similarity helps students to build a foundation for learning high school geometry. And a solid understanding of slope is foundational for studying other advanced topics involving slope such as functions. CCMS's effort at maintaining grade-to-grade mathematical continuity and coherence represents a significant departure from old curriculum that is characterized as "a mile wide but an inch deep" (Schmidt et al., 2001). The rationale for CCMS' effort at promoting and emphasizing content understanding is best captured by the following paragraph:
"Students who lack understanding of a topic may rely on procedures too heavily. Without a flexible base from which to work, they may be less likely to consider analogous problems, represent problems coherently, justify conclusions, apply the mathematics to practical situations, use technology mindfully to work with the mathematics, explain the mathematics accurately to other students, step back for an overview, or deviate from a known procedure to find a shortcut. In short, a lack of understanding effectively prevents a student from engaging in the mathematical practices" (CCMS).
Consistent with the emphasis of CCMS, we used the following scenario question to investigate preservice STEM majors' understanding of the concept of slope and the connection between linear equation and its graph:
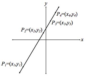
How would you help eighth graders understand that the slope of a non-vertical line can be calculated using any two distinct points on the line (e.g., the slope of the line below can be calculated with points P 1 and P 2 or points P 3 and P 4 )?
According to CCMS Several characteristics of content understanding central to teaching are common emphasis in the seminar work by leading scholars in education and mathematics community. These characteristics tend to cluster around coherence (e.g., connectedness among mathematical concepts), reasoning (e.g., using definitions as a basis for logical reasoning), and purposefulness and/or key ideas (e.g., mindful of why to study a concept and how the concept might be related to prior or later topics). These central characteristics are the basis of our framework for examining our study participants' content understanding of the slope concept according to CCMS. This section reviews the key ideas proposed by prior researchers and shows how they informed the conception of our framework.
In his 1985 presidential address at the annual meeting of the American Educational Research Association, Lee Shulman (1986) described content as "the missing paradigm" in research on teaching and proposed "pedagogical content knowledge" (PCK) as one of the several types of knowledge teachers need in order to teach. Since then, scholars have attempted to elaborate what PCK may entail and link it to student learning (e.g., Ball, 1990 One theoretical framework of proficiency in teaching mathematics came from Schoenfeld and Kilpatrick (2008). Schoenfeld and Kilpatrick (2008) argue that proficient teachers' knowledge of school mathematics is both broad and deep. The breadth focuses on teachers' ability to have multiple ways of conceptualizing the content, represent the content in various ways, understand key mathematical ideas, and make connections among mathematical topics. The depth, on the other hand, refers to teachers' understanding of how the mathematical ideas grow conceptually from one grade to another.
The characteristics of content understanding outlined in Schoenfeld and Kilpatrick's framework are similar to the ideas rooted in a series of work by Deborah Ball and her colleagues (Ball, 1990; Ball, Hill, & Bass, 2005; Ball, Hoover, & Phelps, 2008) and to those outlined in the book of Liping Ma (1999) on "profound understanding of fundamental mathematics (PUFM)". Ball and her colleagues call the kind of content understanding described by Schoenfeld and Kilpatrick, "mathematical content knowledge for teaching" (Ball, Hill, & Bass, 2005; Ball, Hoover, & Phelps, 2008). In her earlier work, Ball (1990) proposed four dimensions of subject matter knowledge for teaching that mathematics teachers need to have, including: (1) possessing correct knowledge of concepts and procedures; (2) understanding the underlying principles and meanings;
(3) knowing the connections among mathematical ideas, and (4) understanding the nature of mathematical knowledge and mathematics as a field (e.g., being able to determine what counts as an "answer" in mathematics? What establishes the validity of an answer? etc.).
In the work that followed, Ball and her colleagues (Ball, Hill, & Bass, 2005) defined "mathematical content knowledge for teaching" as being composed of two key elements: "common" knowledge of mathematics that any well-educated adult should have and mathematical knowledge that is "specialized" to the work of teaching and that only teachers need know." (p. 22). The notion that there is content knowledge unique to teaching was further expanded in their most recent work. Ball and her colleagues (Ball, Thames, & Phelps, 2008) proposed a sub-domain of "pure" content knowledge unique to the work of teaching, called specialized content knowledge. Specialized content knowledge is needed by teachers for specific tasks of teaching (e.g., responding to students' why questions), which in principle seems similar to Liping Ma's proposed concept of "profound understanding of fundamental mathematics" (PUFM) (1999).
Ma proposed the concept of PUFM in her much celebrated work on teachers' understanding of four standard topics in elementary school mathematics between a group of Chinese and American teachers. Ma specified four properties of understanding that characterize PUFM, namely, basic ideas, connectedness, multiple representations, and longitudinal coherence. Shulman (1999) calls these four properties of understanding "a powerful framework for grasping the mathematical content necessary to understand and instruct the thinking of schoolchildren" (p. xi).
The characteristics of content understanding outlined by education scholars are in-sync with the ones proposed by Wu. Wu is one of the few mathematicians who have devoted decades of effort at delineating mathematical content knowledge that teachers need to have in order to teach at K-12 level (Wu, 2010b, 2011b, forthcoming). Wu proposed five basic characteristics capturing the essence of mathematics that is important for K-12 mathematics teaching (2010a, 2011a, 2011b):
Reasoning: The lifeblood of mathematics. The engine that drives problem solving. Its absence is the root cause of teaching and learning by rote.
? Coherence: Mathematics is a tapestry in which all the concepts and skills are interwoven. It is all of a piece.
? Purposefulness: Mathematics is goal-oriented, and every concept or skill is there for a purpose. Mathematics is not just fun and games. Integrating the emphasis of CCMS on reasoning and understanding, the key ideas proposed by education researchers (e.g., Ball, Hoover, & Phelps, 2008;Ma, 1999;Schoenfeld & Kilpatrick, 2008), and Wu's five characteristics of mathematics (Wu, 2010a(Wu, , 2011a(Wu, , 2011b)), we propose three characteristics that exemplify the mathematical content understanding. Our framework of mathematical content understanding is centrally concerned with delineating characteristics of knowledge that demonstrate a relational understanding of a mathematical topic (i.e., knowing what to do and why) (Wu, 2011e), as opposed to an instrumental understanding which Skemp (1976) regarded as knowing the "rules without reasons". Table 1 As Table 1 indicates, these characteristics of content understanding are consistent with and reflect the mathematics education community's call for a profound understanding of school mathematics for teaching (e.g., Ball, 1990;Ma, 1999;Schoenfeld & Kilpatrick, 2008). One point we want to emphasize is that we describe some of the relevant knowledge, acknowledging that there are various ways to conceptualize the content, and more than one way to approach the teaching of it (Cochran-Smith & Lytle, 1999). In addition, we want to point out that the characteristics of content understanding in our framework emphasize aspects of mathematical understanding "most likely to contribute to a teacher's ability to explain important mathematical ideas to students" (Shulman, 1999, xi).
The present paper is based on a broader study of pre-service STEM teachers' content understanding of three foundational algebra topics at a west coast research university in the United States (Newton & Poon, 2015). Study participants were recruited from undergraduate courses that focus on K-12 mathematics and on mathematics teaching and learning. We used a series of scenario questions (roughly 3-4 questions per topic) like the slope one shown above to probe study participants' content understanding. Of the 46 students who responded to the scenario questions, 32 (70%) gave active consent to use their responses for research. Of these 32 study participants, 5 (16%) were science majors, 4 (13%) were engineering majors, 16 (50%) were mathematics majors, and 7 (22%) were humanities majors; 8 (25%) were transfer students from two-year colleges. The 14 students who did not give active consent were all STEM (Science, Technology, Engineering, and Mathematics) majors, of which 9 (69%) were mathematics majors. Their score distributions did not differ significantly from those of the study sample.
We collected two rounds of data, in spring 2010 and spring 2011. At each data collection occasion, one of the researchers visited the study participants' classes. The research member explained the purpose of the study and distributed the form containing the scenario questions. In fall 2010, respondents were given about two weeks to finish the form. Based on the preliminary analysis of data collected in fall 2010, we reduced the number of scenario questions (without sacrificing the opportunity to assess respondents' understanding of key mathematical concepts) and collected additional data in spring 2011. At the spring 2011 occasion, respondents answered the scenario questions during a 2-hour class period. Data for this paper came from spring 2010 where the slope scenario question was asked and included 16 STEM majors (out of 30 total respondents) who gave active consent to use their responses for research purposes.
The authors (co-constructers of the scoring rubrics) independently coded all students' responses.
Initial agreement between the two researchers was close to 80%. In cases where there was a disagreement (mostly within 1-point difference), we compared the rationale for the score in order to reach an agreement for the final score. In scoring a respondent's responses to a scenario question, we focus on the quality of the reasoning process. Specifically, the quality of the reasoning process is judged by the three characteristics that exemplify content understanding outlined in Table 1. These three criteria are the basis for the scoring rubric as shown in Table 2.
Responses do not meet the criteria of precision, coherence, and purposefulness. However, responses address the questions and have minimal mathematical errors. Mathematical understanding tends to focus knowledge at the surface, or mechanical level.
Responses show some elements of precision, coherence, and purposefulness. For instance, there is evidence of an attempt or effort to emphasize the key mathematical idea, its rationale, the logical progression of mathematical concepts, and the connectedness among different mathematical concepts, procedures, and ideas. In addition, responses show an attempt to scaffold mathematical ideas for students.
Responses exemplify precision, coherence, and purposefulness. There is consistent (or substantial) evidence of an attempt or effort to emphasize the key mathematical idea, its rationale, the logical progression of mathematical concepts, and the connectedness among different mathematical concepts, procedures, and ideas. In addition, responses show attention to how to scaffold mathematical ideas to students (e.g., from simple to complex; from specific to general).
Using this rubric, responses to the scenario question were scored on a scale of 1 to 4 (blank responses were categorized as missing data and no one in the sample scored 4). Quantitatively, we examined the frequency distributions of scores for each of the questions by college major. For the qualitative content analysis, we first describe several key patterns that reveal students' understanding of slope. We then compare the quality of reasoning between the observed students' responses and the level-4 response (described below) based on the three criteria described above. In addition, we compare the quality of the responses between those who took the three-course sequence coursework focusing on grades 6 through 12 mathematics topics versus those who did not.
A response representing deep understanding of slope (i.e., level-4 response) begins with the definition of the slope of a line:
The key mathematical idea underlying this question is that the slope of a line can be calculated using any two points on the line (i.e., independence of any two distinct points on the line). So how can we help students learn this key idea? Before I use as shown in the picture, I would first review with students how the slope of a line is defined: given a line and assuming it slants upward (as the picture shows), let's take a point P on the line, go 1 unit horizontally to point R, then go upward (or vertically) and let the vertical line from R intersect the given line at point Q. Then the definition of slope is the length of segment QR (i.e., |QR|). To answer this question, students need to invoke their knowledge of similar triangle. This is an important step towards defining the slope precisely and completely, as the respondent points out: I would expect the following explanation from students: With the definition complete, the respondent adds complexity by posing the following question: "Can we find another, more flexible way of finding the slope of a line, without having to measure 1 unit horizontally from a point on the line and then the vertical distance up?" This step builds on the previous step of defining the slope of the line but uses similar ideas (i.e., similar triangle), as shown below:
To answer this question, let's do the following: let P, Q, R be as before (i.
After establishing the fact that , I would then ask: what can we say about the relationship between the sides of the triangles? One of the things I would expect students to mention would be:
Of course, the respondent is very purposeful about why they are doing this exercise: From this exercise, I would hope students reached the following conclusions:
1
1. The slope of the line can be calculated using any two distinct points, P and S, on the line.
the length of the vertical line segment by the length of the horizontal line segment of . This purposefulness brings mathematical closure to students and we see how the respondent is very deliberate in scaffolding key ideas throughout the process. Having shown the underlying key ideas, the respondent then goes back to the original question (i.e., using P1, P2, P3, and P4) and has students work out the proof on their own:
To
Draw in the horizontal and vertical lines through points and let them intersect at points Q and R as shown below:
We claim that the two triangles formed, ?P 1 P 2 Q and ? P 3 P 4 R, are similar. . Therefore, the slope can be calculated by any two distinct points on the line.
Looking at this level-4 response overall, we see that the respondent is mindful of the purpose of each activity, focuses on the key ideas and scaffolds these key ideas in a coherent way, starting with the definition, using it as a basis for subsequent logical reasoning, and leading students from simple ideas to more complex ones, from specific examples to general cases. To what extent do the sampled students in our study exhibit such understanding? What does their current understanding of slope look like? We address these questions in the following sections.
We first present some quantitative data to show the distribution of students' rating scores. We then describe the patterns emerged in their responses to demonstrate the characteristics of their understanding of slope. As shown in Table 3, close to two-thirds of the students scored 1 whereas the rest scored 2 or 3 and none scored 4. This means that the majority of the students' understanding of slope was inaccurate, fragmented, and incomplete, lacking precision, coherence, and purposefulness (i.e., scoring 1). Those who scored 3 took Mathematics of the Secondary School Curriculum, a 3-semester course sequence designed to teach grades 6-12 content to math majors interested in pursuing teaching as a career. Content analysis of students' responses revealed several key patterns with regards to their understanding of slope. We describe these patterns and discuss insights derived from them in the following sections.
As mentioned in the previous section, the frequency distribution of students' responses shows that only a handful of students scored at the level 3 while the rest at levels 1 and 2 and no one at level 4 (the highest level). Regardless of their scoring levels, all of the students in the study sample exhibit one qualitative characteristic in their responses which is to define slope formulaically in one way or another, consistent with how slope is defined in the K-12 textbooks (i.e., rise over run) as shown in the following example:
Students' responses such as this example show how deeply entrenched students' K-12 learning is. It signals the tendency of these STEM majors to resort to what they have learned as K-12 students to teach the concept as they were taught themselves.
Further examinations of some students' responses reveal a bit of ambiguity on their part as to what rise over run really means. For instance, one student said slope is "how much a graph goes in the xaxis and how far a graph goes on the y-axis"; another student stated, "I would explain that the slope is the change between two points. This "rise" of the "run" that happens to get from one point to another"; and a third student described, "The slope of a line is just the ratio of the change in the y-values to the change in x values". It is not clear what it means for a graph to go both in xaxis and y-axis. And it is not accurate to say slope moves point A to point B (how and where) or slope is change in the y-values to the change in x-values (which y's and x's). The inaccuracy in these responses suggests that students are not making a connection between a linear equation and its graph (i.e., the graph of a linear equation is a collection of all points of ordered pairs (x, y) that satisfy the linear equation). To some extent, this finding is not surprising, since the graph of a linear equation is not defined for them when they first learned the topic as K-12 students. Without connecting a linear equation with its graph, students will not be able to see the connections between: (1) how slope of a line is defined (using their language, how much 'rise' given 1-unit 'run' in the Cartesian plane), ( 2) the formula used to calculate the slope using two distinctive points on the line, and (3) why the calculation does not depend on which two distinctive points one uses (i.e., they will always give the same answer). The scenario asked for the proof that the slope of the line can be calculated using any two distinctive points on the line. The majority of the responses (scores 1 and 2) took what needs to be proven as given as shown in this typical example:
The reasoning process goes that since the slope is constant, the formula using the two pairs of points shown to calculate slope will be the same. Slight variation to this sample response is that some students referenced m, as demonstrated in this example:
As shown in the above example, the student reasoned that using P1 and P2 will give slope m1 and using P3 and P4 will give slope m2. Since the four points are on the same line, m1 must be equal to m2. But what the question is asking for is why the slope is the same and why ANY two distinctive points will give the same answer.
Some students conflate demonstrating with a few examples with proofing, as shown in this example:
It is a good pedagogical practice to use exploration and draw tentative hypothesis based on a few examples. But it is not good to equate demonstrating with a few examples with what proof means. How do we know that all points beyond the few examples will work in the same way? This is the focus question that we expect K-12 students to be able to show through proof. Consequently we expect future mathematics teachers to be able to do the proof themselves as well. A few students mentioned similar triangle in their responses but were vague about why the concept of similar triangle is relevant in this context. For instance, one student mentioned that, "first I would make sure students understand the concept of similarity of triangles and then from this non-vertical line, construct a relationship of slopes and triangles, and that the idea of slopes is basically an idea that follows from similar triangles and the ratios of their hypotenuse". It was not clear what this student meant by "constructing a relationship of slopes and triangles". On the other hand, the term "slopes" suggests there are more than one slopes (of the non-vertical line). Also it is incorrect to say that, "slopes?are ratios of their hypotenuse". Examples like this call into question whether students really know why similar triangle concept is the key to understanding the independence of points when calculating the slope of a line using two distinctive points on the line. Furthermore, the responses showed inaccuracy (ratio of their hypotenuse).
A few students explained why similar triangles are relevant, but even these students relied on slope=m=rise over run, showing on the graph which line segment is rise and which is run, and then jumping directly to rise/run (line segment) is the same due to similar triangles, as demonstrated by this example.
There were some inaccuracy here because similar triangles only tell us |P 4 B|/|P 2 A|=|P 3 B|/|P 1 A|. There were interim steps that are needed in order to go from |P 4 B|/|P 2 A|=|P 3 B|/|P 1 A| to |P 4 B|/|P 3 B|=|P 2 A|/|P 1 A| (which happens to be the slope or 'rise/run" as the student wrote). It seems the student knew what the final answer would be but did not show the process of how one could get to the final answer.
In addition to inaccurately articulating the ratios of which pairs of lines were equivalent to each other, other inaccuracies included locating the position of a point incorrectly in the Cartesian plane using the two coordinates (i.e., x-coordinate and y-coordinate) or calculating the length of a segment of a line using the coordinates. In the following example, parallel and perpendicular lines from the points given (i.e., P 1, P 2, P 3, and P 4 ) were drawn to form two right triangles; however, the points at which the lines intersect were wrongly defined. In the above graph, the position of points V and R defined by x and y coordinates should be V(X 4 , Y 3 ) and R(X 2, Y 1 ) respectively, and not V(X 3 , Y 4 ) and R(X 1, Y 2 ) as the student stated. And the length of the line segment |P 1 R| should be |X 1 |-|X 2 | and not X 2 -X 1 straight out according to this student (a few others did the same). It seems students who did this were trying to get at the slope formula (m= Y 2 -Y 1 / X 2 -X 1 ). But the reasoning for why |X 1 |-|X 2 | is equivalent to X 2 -X 1 is missing. This calls into question whether students really understood the connection between linear equation and its graph and other mathematical concepts such as absolute values.
Though none of the students in the study sample scored 4's and only about half a dozen students scored 3's, there is distinctive variation in the quality of their understanding. Specifically, those who scored 3's all referenced similar triangles where none of the 1's and 2's did. Furthermore, all but one of these study participants (i.e., those scoring 3's) showed the reasoning process of why similar triangle is important in understanding the independence of points used to calculate slope. In contrast, those scoring 1's and 2's mostly invoked the formula of slope calculation and engaged in circular reasoning. In general, attempts to emphasize the key mathematical idea, its rationale, the logical progression of mathematical concepts, and the connectedness among different mathematical concepts, procedures, and ideas are fairly consistent among the highest scoring respondents (i.e., those scored 3's) but notably absent among the lowest scoring respondents (those scored 1's). In addition, attention to scaffolding ideas in a systematic and coherent way is present in some responses that scored 3's but missing in responses that scored 1's or 2's. Interestingly, participants who scored 3's were the ones that had taken the math course sequence that deals with mathematical tops at secondary level.
[Note: Even among those who scored 3's, there was a lack of inaccuracy here and there. For instance, missidentification of which ratios of pairs of legs were equivalent to each other in similar right triangles is common. In addition, all of them defined slope formulaically.]
Responses to the Level-4 Response? Several key differences emerged when we compare these STEM majors' responses to the level-4 one. First, all respondents defined slope formulaically as rise over run using two points on the line (or symbolically as y2-y1/x2-x1). Defining slope in this way in our view creates several conceptual difficulties for learners. To begin with, how do we know any two points will work? Secondly, what does it really mean slope is change in y with unit change in x (where in the formula did unit come into play)? Thirdly, what is the connection between the algebraic expression of slope and its graphical/geometric representation? In contrast, the level-4 response defines the slope by directly using the graph of the linear equation and shows on the graph what it means slope is the rise of y over 1-unit x and that this definition of slope is independent of the point one chooses. Once the definition of slope is complete, the response builds on the definition and scaffolds students through a purposeful and coherent process to derive the key ideas that slope of a line can be calculated using any two distinct points, for example P and S, on the line and that we can calculate the slope of a line by dividing the length of the vertical line segment by the length of the horizontal line segment of (see Figure 1). This purposefulness brings mathematical closure to students. Second, a majority of respondents took what needs to be proven as given and engaged in circular reasoning. In other words, instead of proving that the slope of a line can be calculated using any two distinctive points on the line, they started with the premise that the slope is constant and therefore the formula definition of slope using the two pairs of points shown on the graph is the same. A few considered using a good pedagogical practice of exploration (i.e., try a few points and observe); however, they conflated demonstration through a few examples with mathematical proof. In other words, there are infinite numbers of points on a line, how do we know beyond the sampled points, the rest will work the same way as the sampled ones? Finally, we observed inaccuracies in terms of articulating the ratios of which pairs of lines were equivalent to each other in similar triangles, locating the position of a point correctly in the Cartesian plane using the two coordinates (i.e., x-coordinate and ycoordinate), or calculating the length of a segment of the horizontal (or vertical) line using the coordinates. These inaccuracies left us wonder if the difficulties were caused by not having the opportunity to learn the connection between linear equation and its graph or by a lack of understanding of what the meaning of a line is (i.e., definition of a line).
These weaknesses in responses showed holes in these STEM majors' conceptual understanding of slope and of the connection between linear equation and its graph. These students were STEM majors at one of the research universities. They represent the strongest pool of candidates for future mathematics teachers. Even these students struggled with proving that the slope of a line can be calculated by using any two distinctive points on the line. It is important to emphasize that our intention is not to criticize their lack of conceptual understanding of slope. Rather our results signal how important it is to lay a strong foundation of mathematics topics at K-12 level, because that is where future mathematics teachers learn topics that they will teach one day (given the current mathematics education system). We will discuss this issue further in the conclusion section.
V.
The concept of slope occupies a significant part of the early algebra curriculum and has wide applications in real world problems (e.g., studying the relationship between supply/demand and price of goods in economics) and is foundational for studying more advanced mathematical topics such as functions. Despite its importance, extensive research has documented difficulties both pre-service teacher candidates and in-service teachers had encountered in terms of understanding the concept of slope. This situation is likely to be exacerbated with the implementation of CCMS, because the new standards approach the slope concept in significantly different ways. One question naturally arises is how prepared pre-service teachers are in terms of meeting the expectation of CCMS. Our study investigates this question among a group of undergraduate STEM majors who are enrolled in an experimental teacher preparation program in one of the research universities. Though our study sample is relatively small and restricted to undergraduate STEM majors who selfselected themselves into the Cal Teach courses at one research university, key insights derived from studying these participants are nonetheless significant. These undergraduates represent some of the strongest candidates for the teaching force. Studying the nature of their mathematical understanding of slope according to the CCMS is important in and of itself.
We found that the STEM majors in our study sample do not possess the deep understanding of the slope concept. Specifically, among the study participants, most of them scored 1's and only a small number of participants scored 3. This suggests that even though these STEM majors might be strong in their disciplinary knowledge, they do not necessarily have the depth of understanding of slope in order to teach at the level that is required by the new CCMS.
Furthermore, the small number of participants who scored 3's are math majors who were taking Mathematics of the Secondary School Curriculum, a 3semester course sequence designed to teach grades 6-12 content to math majors interested in pursuing teaching as a career. The principles underlying this course sequence reflect and are consistent with CCMS's emphasis on reasoning and conceptual understanding. Non-math majors or math majors who were not taking Mathematics of the Secondary School Curriculum mostly scored 1's or 1's and 2's and none scored 3's. These results signal the importance of explicitly teaching future math teachers the content knowledge that they will be teaching to their students down the road.
In addition to these quantitative results, qualitative analysis of the characteristics of study participants' understanding of slope concept revealed holes in their conceptual understanding of slope and of the connection between linear equation and its graph. These students were STEM majors at one of the research universities. Even these students struggled with proving that the slope of a line can be calculated by using any two distinctive points on the line.
Taken together, these findings have important implications for the content training of future math teachers in the era of CCMS in order to increase the quality of the teaching force in terms of their content preparation. Our focus on STEM majors is significant, because they represent the strongest pool of future mathematics teachers. In both research and practice, a college major in mathematics is used to signal a candidate's content knowledge for teaching K-12 students, assuming that mathematics majors have the deep understanding of the K-12 topics to teach well at that level. This assumption is manifested to some extent in the recent efforts at recruiting undergraduate STEM majors into teaching through programs such as 100k10 in New York, UTeach in Texas, and UTeach replication sites across the country.
What has not been brought to the forefront is the fact that the content focus of typical college mathematics courses serves a different purpose from content needed for teaching at the K-12 level (Askey, 1999;Wu, 2011a). Consequently the most direct resource for mathematics teachers, whether math major or not, to learn what they are supposed to teach is the mathematics they learned as K-12 students as shown in our study of their understanding of slope. Interestingly, one of the strongest oppositions to states adopting CCMS is the push against the federal government shoveling down a set of national standards onto local states. What these opponents failed to realize is the fact that there has been a de facto national mathematics curriculum at work, which is regarded as textbook school mathematics (TSM) (Wu, 2011c(Wu, , 2011d;;2015). TSM lacks the mathematical rigor, focus, and coherence that CCMS calls for. It is therefore reasonable to assume that students who went through TSM will not be adequately prepared to teach mathematics at the level that CCMS calls for, as supported by the findings of this study.
Our study is set within a broader investigation of STEM majors' mathematical content understanding of three critical early algebra topics (Newton & Poon, 2015). The findings on students' understanding of slope mirror those from the broader study. In closing, we would like to discuss the broader implications of our Subject matter knowledge plays a central role in teaching (Ball, Hill, & Bass, 2005;Buchmann, 1984). In both research and practice, a college major in mathematics is used to signal a candidate's content knowledge for teaching K-12 students, assuming that math majors have the deep understanding of the K-12 topics to teach well at that level. What has not been brought to the forefront is the fact that the content focus of typical college mathematics courses serves a different purpose from content needed for teaching at the K-12 level (Askey, 1999;Wu, 2011a). Though efforts at recruiting undergraduate STEM majors to improve the quality of the teaching force in mathematics are commendable, we need to provide recruits with explicit content training of mathematics topics that they are expected to teach at the K-12 level. Otherwise, STEM majors will resort to the way they were taught as K-12 students when they become teachers one day. For example, the UC Berkeley Department of Mathematics is one of the few that offer courses specifically focusing on grades 6-12 content for mathematics majors who are interested in pursuing teaching as a career. We need policies that promote college mathematics departments' involvement in the training of future mathematics teachers.
On the other hand, the fact that even mathematics majors who had gone through the course sequence in our study sample did not achieve a level-4 score signals the need for a synergistic training between content and pedagogy, and how the two (i.e., content and pedagogy) can become alive in the context of real world teaching and learning. As we emphasized earlier, our level-4 response was written to exemplify the three characteristics of content understanding and the level of standards (i.e., what level-4 could look like) is primarily based on normative and theoretical metric. We did, however, bring our own extensive teaching or research experiences of actual classroom instruction in K-12 classrooms when writing the level-4 response (e.g., how to scaffold ideas from simple to complex; from a specific example to a general case, etc. as opposed to just demonstrating our own ability to prove). In contrast, our study sample has limited exposures to real world K-12 classroom teaching and learning. The fact that programs such as UTeach emphasizes the integration of content and pedagogy on the one hand, and the integration of university learning and K-12 classroom placement on the other hand, points to a promising way to train future mathematics teachers. We need empirical studies to validate what we conceptualize as a level-4 response (e.g., do those who scored highest do better in terms of classroom practices and student learning than those who do not?) and to investigate how content, pedagogy, and actual classroom practice come together to impact students' mathematical learning (e.g., studying the relationship between the qualify of program implementation and its impact). Our findings also have implications for using teachers' college mathematics coursework as a proxy measure of their content knowledge as many empirical studies have done. Empirical studies on the relationship between teachers' college mathematics coursework and their students' mathematical performance have yielded mixed results. One possible explanation might be that having advanced mathematical knowledge at college level does not necessarily equate having deep understanding of K-12 content, which is necessary in order to translate this deep understanding into effective classroom practices in terms of engaging K-12 students around substantive mathematics. Therefore, instead of using proxy measures such as college mathematics coursework, directly measuring teachers' understanding of K-12 content they teach may help to produce consistent results on the relationship between teacher mathematical knowledge and students' achievement.
Finally, our study findings could have potential implications for the professional development of inservice teachers in order to teach CCMS. Since most teachers did not have the opportunities to learn the content knowledge they need to teach from their college mathematics courses, they typically resort to the way they were taught as K-12 students (Adams & Krockover, 1997;Lortie, 1975). To improve the quality of teachers' content understanding according to CCMS, we need inservice professional development activities that focus explicitly on the content knowledge they are teaching and at the level of rigor that is required by CCMS.










| a) Previous Research, State Standards, and Textbooks | |||
| The conceptualization of slope in various | |||
| research studies shares some similarities. Common | |||
| definitions of slope include geometric ratio, algebraic | |||
| ratio, physical property, functional property, parametric | |||
| coefficient, | trigonometric | conception, | calculus |
| conception, and real world representations (Moore- | |||
| Russo, Conner, & Rugg, 2011; Stump, 1999). While | |||
| comprehensive, these definitions can potentially pose | |||
| difficulties for the purpose of teaching and learning | |||
| because not only is the list long, but it is not clear from | |||
| existing literature how these different categories are | |||
| related to one another (i.e., mathematical coherence), | |||
| for what purposes (i.e., purposefulness), and under | |||
| what context to use which definition (i.e., | |||
| connectedness). | |||
| e) Our | Framework | of | Mathematical | Content |
| Understanding | ||||
| Year 2015 | ||||
| ( H ) | ||||
| Characteristics | Descriptions | Link to Other Scholars' Ideas | ||||||||
| Precision | -Be explicit about precise definitions (e.g., use | -Wu (2010a, 2011a, 2011b): precision; | ||||||||
| definitions as a basis for logical reasoning); | definition; reasoning | |||||||||
| -Pay attention to precise statements (e.g., present | -Ball (1990): possessing correct knowledge of | |||||||||
| mathematical ideas clearly) | concepts and procedures; understanding the | |||||||||
| nature of mathematical knowledge and | ||||||||||
| mathematics as a field (e.g., what establishes | ||||||||||
| the validity of an answer?) | ||||||||||
| Coherence | - | Demonstrate | interconnectedness | of | -Wu (2010a, 2011a, 2011b): coherence; | |||||
| mathematical ideas (e.g., show the algebraic and | purposefulness | |||||||||
| geometric representations of a mathematical | -Ball (1990): knowing the connections among | |||||||||
| concept and idea, where appropriate); | mathematical ideas | |||||||||
| -Show | logical/sequential | progression | of | -Ma | (1999): | connectedness; | multiple | |||
| mathematical ideas (e.g., show a deliberate effort | representations; longitudinal coherence | |||||||||
| at scaffolding mathematical ideas from simple to | -Schoenfeld & Kilpatrick (2008): breadth; depth | |||||||||
| complex, specific to general) | ||||||||||
| Purposefulness | -Emphasize key or big mathematical ideas; | -Wu (2010a, 2011a, 2011b): purposefulness; | ||||||||
| -Provide rationale for why key mathematical ideas | reasoning | |||||||||
| are relevant to the teaching of a particular | -Ball (1990): understanding the underlying | |||||||||
| mathematical topic at hand | principles and meanings | |||||||||
| -Ma (1999): basic ideas | ||||||||||
| -Schoenfeld & Kilpatrick (2008): breadth | ||||||||||
| Levels | Descriptions |
| 1-little | |
| understanding |
| a) Frequency Distribution of Students' Scores |
| Table 3 displays the frequency distribution of |
| students' scores. |
| Year 2015 |
| ( H ) |
| Levels of Content Understanding | Percentage |
| 1: little understanding | 65% |
| 2: instrumental understanding | 12% |
| 3: transitional understanding | 23% |
| 4: relational understanding | 0% |
The mathematical understanding that prospective teachers bring to teacher education. Elementary School Journal 1990. 90 p. .
Knowing mathematics for teaching: Who knows mathematics well enough to teach third grade, and how can we decide?. American Educator 2005. 29 (3) p. 14.
Content knowledge for teaching: What makes it special. Journal of Teacher Education 2008. 59 (5) p. .
Can slope be negative in 3-space? Studying concept image of slope through collective definition construction. Educational Studies in Mathematics 2011. 2015. 76 (1) p. .
The mathematics teachers should know. http://math.berkeley.edu/~wu/Lisbon2010_2.pdf Talk given at, (Lisbon, Portugal, on
Bringing the Common Core State Mathematics Standards to life. http://www.aft.org/pdfs/americaneducator/fall2011/Wu.pdf American Educator 2011d. 35 (3) p. . (Phoenix rising)
Potential Impact of the Common Core Mathematics Standards on the American Curriculum. Mathematics Curriculum in School Education: Advances in Mathematics Education, Y Li, G Lappan (ed.) (Dordrecht
Teachers' personal agency: Making sense of slope through additive structures. Educational Studies in Mathematics 2007. 65 (2) p. .
Those who understand: Knowledge growth in teaching. Educational Researcher 1986. 15 (2) p. .
Relationships of knowledge and practice: Teacher learning in communities. Review of Research in Education 1999. 24 p. .
Conceptualizations of slope: A review of state standards. School Science and Mathematics 2012. 112 (5) p. .
Being sloppy about slope: The effect of changing the scale. Educational Studies in Mathematics 2002. 49 (1) p. .
Beginning science teacher cognition and its origins in the preservice secondary science teacher program. Journal of Research in Science Teaching 1997. 34 (6) p. .
Secondary mathematics teachers' knowledge of slope. Mathematics Education Research Journal 1999. 11 (2) p. .
Developing preservice teachers' pedagogical content knowledge of slope. Journal of Mathematical Behavior 2001a. 20 p. .
High school precalculus students' understanding of slope as measure. School Science and Mathematics 2001b. 101 (2) p. .
Student difficulties with linearity and linear functions and teachers' understanding of student difficulties (Doctoral dissertation). Retrieved from ProQuest Dissertations and Theses, 2011.
Do teachers know what their students know?. National Council of Supervisors of Mathematics Newsletter 2012. 42 (3) p. .
Preparing future math teachers. Education Forum 2011. 332 p. . (Science)