nstitutions of Higher Education must understand and engage with students' perceptions of diversity within the social and academic contexts of campus life. "Diversity, pluralism, equity, access, multiculturalism, regardless of how they have been named, have been on the agenda of colleges and universities for nearly 50 years" (Pope, Mueller, & Reynolds, 2009, p. 640). Toward this end, researchers have developed cultural competence instruments for teachers, counselors, and student affairs professionals (Cheng & Zhao, 2006). For our study, we define cultural competence as knowledge of and sensitivity to the accumulated store of symbols, ideas, and material products associated with multiple group experiences. The groups will be those identified by race, ethnicity, gender, sexual orientation, religion, language, and ability/disability. Additionally, awareness of one's own identity and membership in the various groups mentioned above is a critical component of cultural competence.
Here we review the history and origins of how researchers have measured cultural competence. Then, our focus narrows to how researchers measure cultural competence within the field of education. Finally, we detail our instrumentation and dissemination. Unlike previous instruments that have been generated at predominantly middle-class, Midwest institutions, diversity was at the forefront of our thinking throughout the development of our instrument at a Hispanic Serving Institution. Through this process, we contribute to the field of post-secondary education a valid, reliable, and culturally-responsive instrument for measuring students' cultural competence. Our study fills a gap in the research literature uncovered by Pascarella. Pascarella (2006) contends, "it may be possible to obtain more internally valid findings from multiple small-scale longitudinal studies based on single institution samples than from multi-institutional data derived from crosssectional designs" (p. 510).
Our review of the literature uncovered that many of the existing measures of cultural competence are in the field of medicine and other health professions. Most noted is Campinha-Bacote's (2002) Inventory for Assessing the Process of Cultural Competence among Healthcare Professionals, also known as the IAPCC. The IAPCC assesses healthcare providers' levels of cultural competence (Campinha-Bacote, 2002). The framework consists of five distinct constructs: (1) cultural awareness/sensitivity, which examines the ability to empathize and be sensitive to clients of different cultural backgrounds; (2) cultural knowledge, which measures initiative to seek knowledge about the perceptions and worldview of clients from different cultural groups; (3) cultural encounter, which measures experiences and engagements with clients from different cultural backgrounds; (4) cultural skill, which refers to the ability to interact and be respectful to clients from different cultural groups; and (5) cultural desire, which involves the desire and motivation to engage in the four aforementioned concepts (Campinha-Bacote, 2002). Numerous health researchers have used the IAPCC framework to study cultural competence as it relates to course and curriculum development, respondents' perceptual changes overtime, and public service.
Haack and Phillips (2012) used the IAPCC instrument to measure cultural competence among pharmacy students, with particular focus on the curriculum and courses. Their ultimate goal involved examining whether changes made to the curriculum can be assessed by the competence levels of students before and after course implementation (Haack & Phillips, 2012 Their findings suggest cultural competence is both multi-layered and complex.
Training of Educational Professionals
In order to address the changing demographics of public schools, Pettus and Allain (1999) developed an instrument for assessing prospective teachers' attitudes concerning multicultural education. The questionnaire was developed and administered to prospective secondary school teachers enrolled in multicultural education courses. The questionnaire had items that asked about knowledge of different cultural, ethnic, and social-class groups (knowledge construct); teachers' attitudes about the topic (sensitivity construct); and, the pedagogical implications of ethnic and cultural characteristics (awareness construct).
Counseling is another field concerned with developing its professionals to be sensitive and effective in working with persons from diverse cultural, racial and ethnic backgrounds.
According to D'Andrea, Daniels, and Heck (1991) this concern led to the late twentieth century cross-cultural counseling movement. Consequently, D'Andrea and his colleagues (1991) developed the both valid and reliable Multicultural Awareness-Knowledgeand Skills Survey (MAKSS), which is a self-administered written test.
Student affairs is yet another area that links the growing and complex nature of diversity among students with the need to address the issue of cultural competence. A number of researchers (Pope & Reynolds, 1997;King & Howard-Hamilton, 2003; Castellanos, Gloria, Mayorga, & Salas, 2008) have identified three dimensions of cultural competence for student affairs professional and student affairs graduate students. Awareness is a belief that differences are valuable and learning about differences is necessary and rewarding; knowledge involves the knowledge of diverse cultures and oppressed groups; and skills is the ability to identify and openly discuss cultural differences and issues. Cheng and Zhao (2006) point out that there is existing instrumentation to assess multicultural competence for teachers, counselors, and student affairs professionals, as discussed above. The authors assert that the next important area is measures for undergraduate students.
Further, they cite evidence that instrumentation in this area is still in its infancy in terms of empirical validation and the instruments are too lengthy to administer to a general student population.
While cultural competence remains an active unit of analysis in health and other professional areas, limited research exists regarding First Time in College (FTIC) student populations. The majority of FTIC research addresses questions of financial readiness, graduation rates, retention, and general academic development-elements commonly considered by higher education researchers to measure and predict students' academic success (Krumrei-Mancuso, Newton, Kim, & Wilcox, 2013). Measurements of student perceptions toward culture and diversity usually are integrated into general campus climate assessments. Most of these items attempt to distinguish cultural perceptions by student status. The Campus Diversity Survey, developed by the Regional Consortium for Multicultural Education (The Regional Consortium for Multicultural Education, 2007), measured individual student attitudes and experiences with diversity between undergraduate students and graduate students. Although this survey did not consist of items that specifically referenced FTIC students, it did provide options for the respondent to specify their student academic level, ranging between "freshman" and "senior". The survey has a question pertaining to the number of semesters the student had been enrolled with the university. Such questions help to distinguish cultural perceptions across different student statuses and academic levels.
Another instrument, developed by a team of research professors at the University of Massachusetts (UMass), intended longitudinally to explore links between diversity and classroom learning among FTIC students (Office of Academic Planning and Assessment, 2001). The instrument measured four educational constructs pertaining to diversity including (a) students' prior experience interacting with diverse peers, (b) multicultural skills and knowledge, (c) attitudes towards racial and ethnic identity and discrimination, and (d) attitudes regarding the role of higher education in relation to race and ethnicity issues. Making the study longitudinal allowed the researchers to analyze how student perceptions changed over-time, and how their cultural experiences facilitated academic growth. According to Smith and Torrey (1996) longitudinal data are important for studying cultural differences and changes. One-time assessments limit the ability to interpret transformation of student cohort perceptual changes overtime. This is especially true with initiatives examining participant's perceptions of multicultural curriculum courses, workshops, and teaching, all of which help to analyze transformations of students' cultural competence (Smith & Torrey, 1996).
While FTIC and campus climate assessments may provide opportunities for interpreting different cultural perceptions among students, the importance of cultural competence as a distinct conceptual measurement across FTIC populations is paramount to evaluate students' needs for cultural development. Cultural competence instruments also uniquely measure students' perceptual changes over-time and how these changes correspond with real world performance (Echeverri, Brookover, & Kennedy, 2010). The limitations with many other academic assessments, such as campus climate instruments, are that students' experiences with diversity are often generalized, and subjects of culture and diversity are conceptualized using frameworks that are not statistically valid.
In order to assess cultural competence amongst FTIC students, it is important to examine student pre-college cultural backgrounds. In understanding students' pre-college backgrounds, including the settings they grew up in and their interactions with diverse communities, the likelihood of accurately predicting the change in cultural competence throughout their college career, increases (Hurtado, Engberg, Ponjuan, & Landreman, 2002). Umbach and Milem's (2004) study of 2,911 first-year university students found that students with diverse pre-college backgrounds were more likely to join organizations promoting diversity, take courses devoted to multiculturalism, and participate in multicultural campus organizations and activities. The researchers also discovered that females proved more likely than males to participate in diversity activities. Thompson (2008) found that White students were less likely in general to embrace diversity as opposed to African-American and Native American students. Hispanic students were more likely to interact with individuals from diverse backgrounds than other racial/ethnic groups (Umbach & Milem, 2004).
Based on the literature detailed above, there is a need for a valid and reliable instrument to measure cultural competence in post-secondary academic settings. Students' post-secondary experiences with diversity are imperative in shaping student perceptions and abilities to interact with people from different cultural backgrounds. Our aim was to capture these experiences and perceptions through assessing cultural competence across different FTIC demographic groups.
V.
After rigorously reviewing relevant assessments, we chose 51 questions that had a high level of relevance to post-secondary contexts. We justified the allocation of these items by applying Campinha-Bacote's (2002) IAPCC construct definitions. Rather than assessing competence amongst practitioners, we applied the model to assess students' cultural competence. This way, (a) cultural sensitivity became an examination of students' abilities to empathize and be sensitive toward students with diverse cultural backgrounds; (b) cultural knowledge became a measure of students' initiative to learn or seek knowledge of the perceptions and worldviews of students with different cultural groups; (c) cultural encounter centered on students' engagement with other students of differing cultural backgrounds; and, (d) cultural skill referred to students' willingness to interact and be respectful toward students from cultural groups other that their own. After allocating the questions, we cautiously reworded and rephrased each question to make them specific to FTIC students.
After integrating all survey items into the instrument, we worked to strengthen the items and assure their conceptual and statistical compatibility with each assigned construct (cultural encounter, cultural knowledge, cultural skill, and cultural sensitivity). To assess which questions aligned to each construct, we designed content validity and item compatibility tests. These tests served as conceptual validation techniques that helped determine whether each item effectively measured an element of the given construct.
For the content validity tests, we created a table that included the name of the construct, and an extensive list of all survey questions that related to that specific construct. We looked for similarities in wording and wrote down the specific measure each question intended to assess. Examples of measures included interacting with individuals with different socioeconomic backgrounds, comfort in diverse social contexts, and awareness of diverse cultures. Once we determined these labels, we interpreted whether the questions conceptually fit with the construct we assigned it. Overall, we ended up with six tables, four for each of the aforementioned constructs, and two more for demographic and identity awareness questions. As some questions such as, thinking about one's gender, or sexual identity, captured one's sense of self/identity, we defined a new construct absent in past literature called identity awareness. We consider this to be an important contribution to furthering our understanding of cultural competency of first time in college students. For item compatibility, we added, withdrew, replaced, and removed several items to strengthen each items' conceptual compatibility with its assigned construct.
We created the following code system to denote how we would proceed to change specific questions on each respective draft of the instrument:
Next, we (a) reverse scored questions to limit respondent bias, (b) moved questions to other categories, and (c) added/withdrew questions from the instrument. We replaced any nominal response categories that assessed an IAPCC construct with 5point Likert scales. Scales included response choices ranging from "Strongly Agree" to "Strongly Disagree", "Always" to "Never", and "Very Comfortable" to "Very Uncomfortable." After a series of intensive drafts, we were ready to develop the instrument.
We dispersed items throughout the instrument to limit students' ability to recognize the constructs. This served to limit respondent bias. At this stage, 51 items appeared on the instrument. To target respondent's potential inattentiveness, we inserted two quality control questions asking respondents to circle specific answer choices. One of these questions asked students to select answer choice "B", and the other to select answer choice "E". Further, to measure completion time, we initially administered a timed assessment version to 23 students in an undergraduate course. We did not collect any personal information nor did we collect scores; our goal was limited to measuring the average and range of students' completion times. We asked each student to log the time in which they completed the assessment. Completion times ranged from seven to nine minutes.
After students completed the timed survey, we asked them to provide comments and suggestions regarding their interpretation of the items. Nine of the 23 students provided feedback, which we used to revise the instrument. Most of these students made note of invasive questions pertaining to their romantic lives, spiritual/religious beliefs, and/or sexual orientations. Others commented on grammar, wording, and formatting issues. We took all observations into consideration. The step in the process proved vital in refining our instrument.
For further insight, we sent the final draft of the instrument to four external subject matter experts who specialize in cultural competence. Based on their feedback we provided a more inclusive definition of cultural competence and ability/disability within the instrument.
We piloted the final draft of the instrument, which had 48 questions, over a period of three weeks with a sample of 262 undergraduate/graduate students during the summer of 2014. It was a non-probability sample made up of respondents enrolled in one of thirteen summer courses on two campuses. Each respondent contributed to a unique case; no student answered the survey more than once.
Upon receiving the completed surveys, we assigned a number to each lettered response category in order to transfer student responses into a data spreadsheet. The numeric transfer codes included: A = 1, B = 2, C = 3, D = 4, and E = 5. After marking these numeric representations for all 262 surveys, we inserted the data into a Microsoft Excel file. We established a codebook with abbreviated variable names signifying the construct in which they were assigned. We ran frequency distributions for all variables to check whether any outputs produced suspicious results. In total, there were two data entry errors, which we remedied by retrieving the original surveys and replacing the values with correct scores. We generated a correlation matrix to assess bivariate relationships. We examined any variables producing a correlation above 0.8 indicating potential multicollinearity; we found no such relationships. We then checked the assumption that the data were multivariate normally distributed, which was violated (H(2772.958) = .001, p < .001). This meant that our data analysis should only include statistical procedures that do not have this distributional assumption. Additionally, we removed 16 respondents who incorrectly answered the quality control questions on the pilot survey.
Exploratory Factor Analysis (EFA) is a statistical procedure that explores underlying structures of intercorrelated variables (Warner, 2008). We used EFA as a data reduction technique to identify the variables that accounted for the most variance in each factor. We used the data from the pilot study discussed previously for this analysis (n=246).
We used principal axis factoring (PAF) in the pilot study because the data violated the assumption of multivariate normal distribution (H(2772.958) = .001, p < .001). PAF also served as the best extraction method for this study because it examines both shared variance and error variance, while finding those observed variables that are related by some unobservable (latent) variable. Moreover, promax rotation was used so that each variable produced only one high loading under its most proportionate factor, rather than under multiple factors. Promax rotations allow factors to correlate, which is expected in the social sciences.
After extraction of the factors, we checked for internal consistency among the items (Singleton & Straits, 2010, p.136). A Cronbach's alpha coefficient of above 0.70 indicated an acceptable level of reliability of constructed scales (Grau, 2012).
Analysis Results
Before running the Exploratory Factor Analysis (EFA), we checked for key assumptions. We examined the correlation matrix, which produced several coefficients meeting the 0.30 factorability assumption for EFA (Williams, Onsman, & Brown, 2010, p.5). We also ran KMO and Bartlett's Test of Sphericity, which are measures of sampling adequacy. The KMO test computed a sampling adequacy of 0.776 suggesting factorability. Bartlett's Test of Sphericity came out significant (?² (3738.2) = .001, p < .05). This indicated that the variables/items were correlated and did not produce an identity matrix. The model indicated 13 factors -13 eigenvalues greater than 1.0-and the cumulative variance explanation for the model was 49%. The first three factors had the most proportionate variance with a cumulative value of 6%. The scree plot, however, indicated five potential factors, as did the pattern matrix. This is interesting because initially the instrument was created using five constructs which served as the number of factors we anticipated retaining. Yet, an additional sixth factor was chosen because five cultural knowledge variables had high factor loadings. We reran the factor analysis again after eliminating remaining variables beyond six factors in the pattern matrix.
After elimination, the number of variables/items dropped from 48 to 30. The correlation matrix met the 0.30 factorability and the KMO test computed a sampling adequacy of 0.785 -a slight increase from the first EFA model. Bartlett's Test of Sphericity retained significance at (?² (2582.3) = .001, p < .05). This analysis resulted in eight eigenvalues greater than 1.0 indicating a possibility of eight factors. This was an improvement over the first model as it indicates a consolidation of themes. However, the cumulative amount of variance explained by the second model, at 49%, did not change from the first model. The proportionate variance in the first and second factor however each explained 9 percent of the model, higher than their variance explanation in the previous model.
The scree plot indicated four to five possible factors. The five cultural knowledge variables appeared in the same exact factors in the pattern matrix as in the first model. We decided not to identify the cultural knowledge variables as a factor because we concluded that the questions did not sufficiently represent a cultural knowledge construct even though these variables produced high loadings. Variable "How often do you think about your religion?" was removed because of low communality and "How much contact have you had with people from cultural backgrounds other than your own prior to coming to this university?" was removed because it had a low factor loading.
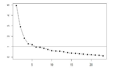
A final analysis was performed with the remaining 23 variables. The correlation matrix once again met the .30 factorability, and the KMO test came out to .814, a four percent increase from the previous KMO test. Bartlett's Test of Sphericity computed to (?² (1765.7) = .001, p <.05). Overall, the third model proved to be more statistically robust than the others, with the exception that the cumulative amount of variance explained by the model dropped to 44%. This was expected since the cultural knowledge variables, which had high coefficients and commonalties, were withdrawn. The proportionate variance in the first three factors is the highest variance explanations of all three models, cumulatively explaining 32 percent of the model. Figure 1 visually depicts the five eigenvalues greater than 1.0 with the curve changing direction at the fourth or fifth factors. This convergence indicates that the model is more parsimonious and also more in line with the number of factors we intended to retain.
The factor structure for the first 4 factors was strong and indicated a final solution. Note. * Indicates a variable kept in the model, despite low communality or factor deviation. 1 One issue with the final factor pattern matrix is that six variables resulted with communalities below 0.30. Since these variables produced loadings above 0.45, we decided to retain them. Reliability analysis indicated that these variables did not lower Cronbach's Alpha However, the fifth factor carried only one factor loading, which belonged to "How often have you socialized with a student of a sexual orientation different from your own?" As a result, we produced another matrix was which presented factors fixed at four. This matrix, presented in Table 1, served as the final EFA model for the analysis. The final pattern matrix indicated a 4-factor solution consistent with four of the five constructs we initially expected to retain: cultural sensitivity, cultural encounter, cultural skill, and identity awareness. Most of the cultural knowledge variables were eliminated during the process, because of a failure to theoretically assess the concept accurately. However, the other four constructs are reasonably represented in XII.
A reliability analysis was run to examine the Cronbach's Alpha of each construct presented in the final EFA model. Each scale met the .70 coefficient criterion, with cultural encounter having the lowest coefficient at .71 and cultural sensitivity having the highest coefficient at .81. We estimated alpha coefficients given the chance that each variable was removed. Any variable that weakly contributed to their corresponding factor was detected, allowing us to decide whether the variable should be ultimately removed or kept in the scale. the model 1 .
Our final survey consisted of 27 items. Twentythree of these items derived from the IAPCC model and survived numerous statistical analyses to provide evidence of validity. One item approved in the final EFA model, student age, was not included in the because it measured a cultural unit which we decided to assess instead in a qualitative assessment. Another item related to disability accommodations that weakly contributed to its corresponding scale as evident from the reliability analysis was removed. Three items were added to the survey were demographic variables that assessed students' primary campus community, initial geographic setting, and membership with the LGBTQIA community. Two survey items were quality control questions. The final item asked respondents whether they were interested in participating in a future focus group opportunity. We ran a confirmatory factor analysis on our instrument using data collected in fall of 2014 from the first cohort. We also ran another set of reliability analyses to check the scales with the new data. The results were generally the same as the pilot analysis, with exception of identity awareness, which increased from .78 to .79, and cultural skill, which decreased from .78 to .73.
We performed confirmatory factor analysis on the first cohort data from fall 2014. Suhr (2006) defines CFA as "a statistical technique used to verify the factor structure of a set of observed variables" (p. 1). The procedure is a structural equation model (SEM) that tests the linear relationship between observed variables and their assigned factors (Reinard, 2006). We used the root mean square error of approximation (RMSEA), which assesses model fit based on degrees of freedom and number of factors (Steiger & Lind, 1980). We also used the comparative fit index (CFI) to assess fit. A CFI The CFA confirms whether the factors developed by the pilot EFA model was sufficient. We performed the CFA on the data (n=1188) using the robust weighted least squares (WLSMV) estimator which best interprets CFA models with categorical variables. The chi-square goodness of fit of (?² (810.722) = .001) indicated poor fit. Hu and Bentler (1998) suggested that the chi-square goodness of fit index is affected by sample size. In other words, the larger the sample, the more likely the chi-square goodness of fit test will be rejected, which is an indication of poor fit (that is the null states the observed data is equal to the hypothesized model). For this reason, other fit indices are often reported. The first of these is the RMSEA, which was .051 with a 90 percent confidence interval between 0.050 and 0.058. The RMSEA was discussed earlier and is a measure of absolute fit. Models with RMSEAs below The CFI provided evidence of good fit at .962. All of these affirm the verification of the factor structure of the twenty-three observed variables. Only two variables had variance explanations lower than 30 percent, including "I feel my beliefs are threatened when I'm surrounded by students with cultural backgrounds different from my own" and "It challenging for me to interact with students from different cultural backgrounds than my own." As result, the factor loadings for each variable were the lowest in the model. Cultural sensitivity explained the most amount of variance at 75 percent, with cultural encounter explaining approximately 53 percent. Cultural skill had a variance of 47 percent and identity awareness had a variance of 34 percent. Figure 2 shows a path diagram of the factor inter-correlation coefficients and standardized item variances and factor loadings. Note that the highest inter-correlation is associated between cultural sensitivity and cultural skill, with a coefficient of .726. Though this association does not infer causality, it may imply that individuals who are culturally sensitive to others' cultural backgrounds will have higher levels of cultural skill, meaning they are more likely to act on this sensitivity.
XV.
Our pilot testing revealed that initially we needed to include more cultural attributes in the survey. We initially included questions pertaining to disability, religion, and romantic involvement, but these items were affecting the factor structures in the exploratory factor analysis. We decided to use these items in our qualitative focus groups instead at a later stage in the longitudinal research study. Thus, these attributes are not included in the final survey. This could be a limitation if others utilized only the survey without corresponding qualitative measures. In Echeverri et al.'s (2010) analysis of the CCCQ, the cultural competence constructs were interpreted as domains, meaning the factors loadings in the EFA actually defined the cultural unit of which they measured. These cultural units were considered latent variables, and as result, these latent variables were then assigned to one of the cultural competence domains. This allowed for more factors to be populated throughout the matrix.
Another constraint of the initial survey was that it did ask students about their desire and willingness to join or participate in multicultural events or groups. We do include this on the wave one post-survey, but not on the baseline instrument. The lack of survey assessments that actually measured cultural desire inhibited me from creating and developing questions pertaining to the construct; however, we acknowledge realize now that the importance of the construct seems most applicable in academic research as opposed to heath research.
Having focused on diversity at a Hispanic Serving Institution, our survey instrument is statistically reliable and valid. Results to date indicate that more should be done to produce a more cohesive conceptual framework for cultural competence. Because this is the first research examination of the IAPCC construct as a FTIC student assessment, the findings in this study serve to initiate discussion about the conceptual © 2018 Global Journals Volume XVIII Issue III Version I 3) Perhaps more variables would have been usable for our survey had we took this approach. credibility of this framework, which can ultimately assist in improving the instrument even more. student views about diversity. Research in Higher Education, 45 (6)


| Cultural | Cultural | Identity | Cultural | ||
| Survey Items | Skill | Sensitivity | Awareness | Encounter | |
| How often have you socialized | |||||
| With a student from a cultural | |||||
| Background different from your | |||||
| Own? | 0.736 | ||||
| How often have you socialized | |||||
| With a student of a sexual | |||||
| Orientation different from your | |||||
| Own?* | 0.427 | ||||
| How often have you socialized | |||||
| Year 2018 | with a student from a religious Back ground different from your Own? How often have you socialized | 0.574 | |||
| 2 32 Volume XVIII Issue III Version I | with a student with a Disability?* How much contact have you had With people from cultural Backgrounds other than your own while at this University? How often do you think about Your culture? How often do you think about your gender? How often do you think about Your sexual identity? | 0.561 0.796 0.680 | 0.528 0.527 | ||
| ( H ) | How often do you think about Your socioeconomic | ||||
| -Global Journal of Human Social Science | Status? How often do you think about Your age?* How often do you think about your first language(s)? A diverse student body is important for my university.* It is important for my university to have students from a variety of socioeconomic backgrounds.* My university should proactively recruit a culturally diverse student body. It is important for my university to make accommodations for Students with disabilities. | 0.728 0.897 0.762 0.328 | 0.596 0.417 0.612 | ||
| It is important for my university to have students of differing sexual orientations.* | 0.648 | ||||
| I am aware of cultures other than my own groups | 0.490 | ||||
| I am comfortable discussing cultural issues with other students. | 0.563 | ||||
| I am accepting of students from cultural backgrounds different from my own | 0.617 | (Table continued over) | |||
| © 2018 Global Journals |
| XIV. | Instrumentation |
| Variable | Construct | Measure | |
| CE01 | Cultural | How often have you socialized with a student from a cultural background different | |
| from your own? | |||
| CE02 | Cultural | How often have you socialized with a student of a sexual orientation different from | |
| your own? | |||
| CE03 | Cultural | How often have you socialized with a student from a religious background different | |
| from your own? | |||
| CE04 | Cultural | How often have you socialized with a student with adisability? | |
| CE05 | Cultural | How much contact have you had with people from cultural backgrounds other than your own while at this university? | |
| IA01 | Identity | How often do you thinka bout your culture? | |
| IA02 | Identity | How often do you think about your gender? | |
| IA03 IA04 IA05 CSK01 CSK02 | Identity Identity Identity Cultural Cultural | How often doyou think about your sexual identity? How often do you think about your socio economic status? How often do you think about your first language (s)? Iama ware of culture so the than yown groups. I feel my beliefs are threatened when I'm surrounded by students with cultural | Year 2018 |
| backgrounds different from my own. | 35 | ||
| CSK03 CSK04 CSK05 CSK06 CSK07 CS01 CS02 CS03 CS04 QC01 | Cultural Cultural Cultural Cultural Cultural Cultural Cultural Cultural Cultural Quality | I respect the decisions made by other students when they are influenced by their cultural backgrounds, even if I disagree. I am comfortable discussing cultural issues with other students. It is challenging for me to interact with students from different cultural backgrounds than my own. How would you rate your ability to work cooperatively with students from cultural backgrounds different from your own? I am accepting of students from cultural backgrounds different from my own. Adiverse student body is important for my university. It is important for my university to have students from a variety of socioeconomic backgrounds. My university should proactively recruit a culturally diverse student body. It is important for my university to have students of differing sexual orientations. Forquality control purposes, please circleb. | Volume XVIII Issue III Version I |
| QC02 CAMP | Quality Campus | Forquality control purposes, please circlee. What is your primary campus community? | ( H ) |
| SET LGBTQ FGROUP | Setting LGBTQ Focus | What setting did you spend most of your life in befor ecomingto Are you a member of the LGBTQ? Would you like to be contacted about our future focus group value above .96 is an indication of good fit (Yu & Muthen, 2002). | Global Journal of Human Social Science - |
| © 2018 Global Journals |
Constructing a Reliable and Valid Instrument to Measure Post-Secondary Students' Cultural Competence After the preliminary analyses of the pilot data were completed, we worked with the Office of Student Diversity and Inclusion (SDI) to survey samples of the Fall 2014 student orientation. The event had approximately 5,100 FTIC students (42% White, 37.6% Hispanic, 16.1% Black, 4.3% Other) registered to attend Texas State University during the Fall 2014 semester (Office of Institutional Research, 2014). For the event, fifteen associates were responsible for accommodating between 300 to 500 students every three hours, three times a day. The orientation was a three-day event. Throughout the daily sessions, we had SDI associates randomly administer our surveys amongst their groups. All students were situated in an auditorium and asked to complete the survey prior to engaging in orientation events. Overall we managed to capture 29 percent of the population. The sample was representative of the incoming class of students. Cultural Encounter (Cronbach's Alpha: 0.71) How often have you socialized with a student from a cultural background different from your own? How often have you socialized with a student of a sexual orientation different from your own? How often have you socialized with a student from a religious background different from your own? How often have you socialized with a student with a disability? How much contact have you had with people from cultural backgrounds other than your own while at this university?
Identity Awareness (Cronbach's Alpha: 0.78) How often do you think about your culture? How often do you think about your gender? How often do you think about your sexual identity? How often do you think about your socioeconomic status? How often do you think about your age? How often do you think about your first language(s)?
Cultural Skill (Cronbach's Alpha: 0.77) I am aware of cultures other than my own groups. I feel my beliefs are threatened when I'm surrounded by students with cultural backgrounds different from my own. I respect the decisions made by other students when they are influenced by their cultural backgrounds, even if I disagree. I am comfortable discussing cultural issues with other students. It is challenging for me to interact with students from different cultural backgrounds than my own. How would you rate your ability to work cooperatively with students from cultural backgrounds different from your own? I am accepting of students from cultural backgrounds different from my own.
Cultural Sensitivity (Cronbach's Alpha: 0.81) A diverse student body is important for my university. It is important for my university to have students from a variety of socioeconomic backgrounds. My university should proactively recruit a culturally diverse student body. It is important for my university to make accommodations for students with disabilities. It is important for my university to have students of differing sexual orientations.
Unraveling the layers of cultural competence: Exploring the meaning of meta-cultural competence in the therapeutic community. doi:10.1300. Journal of Ethnicity in Substance Abuse 2006. J233v05n03? 04. 5 (3) p. .
Cultivating multicultural competence through active participation: Extracurricular activities and multicultural. NASPA Journal 2006. 43 (4) p. .
Psychosocial factors predicting first-year college student success. 10.1353/csd.2013.0034. Journal of College Student Development 2013. 54 (3) p. .
The process of cultural competence in the delivery of healthcare services: A model of care. Journal of Transcultural Nursing: Official Journal of the Transcultural Nursing Society 2002. 13 (3) p. .
Student affairs professionals' self-report of multicultural competence: Understanding awareness, knowledge, and skills. NASPA Journal 2008. 44 (4) p. .
Fit indices in covariance structure modeling: Sensitivity to under parameterized model misspecification. Psychological Methods 1998. 3 (4) p. .
Evaluating the impact of multicultural counseling training. Journal of Counseling and Development 1991. 70 (1) p. .
Nine constructs of cultural competence for curriculum development. American Journal of Pharmaceutical Education 2010. 74 (10) p. .
An assessment of multicultural competence. Naspa Journal 2003. 40 (2) p. .
Preparing College Students for a Diverse Democracy Selected Results from a Survey of Fall. Entering First-Year Students. Massachusetts 2001. 2000. UMASS. (Office of Academic Planning and Assessment (OAPA))
Student affairs core competencies: Integrating multicultural awareness, knowledge, and skills. Journal of College Student Development 1997. 38 (3) p. .
Looking back and moving forward: Future directions for diversity research in student affairs. doi:10.1353.csd.0.0097. Journal of College Student Development 2009. 50 (6) p. .
Teaching cultural competency through a pharmacy skills and applications course series. American Journal of Pharmaceutical Education 2012. 76 (2) p. .
Using a questionnaire to assess prospective teachers' attitudes toward multicultural education issues. 10.1353/csd.2006.0060. Journal of College Student Development Pettus, A. M., & Allain, V. A. (ed.) 1999. 47 (5) p. .
Development and validation of the cultural competence assessment instrument: A factorial analysis. Journal of Rehabilitation 2011. 77 (1) p. .